영상: https://youtu.be/NMesGSXr8H4
강의 자료: Markov Decision Process
Table Of Content
Introduction to MDPs
- RL에서의 Environment를 표현
- Fully Observable Environment이다.
- Agent State == Environment State = Information State
- 현재 State가 Process를 표현한다.
- 강화학습 문제를 정의하는 것

Markov Property
[Definition]
A state St Markov if and only if
P[St+1 | St] = P[St+1 | St1, ..., St]
- The state captures all relevant information from the history
- State만 보고 History는 사용하지 않는다

State Transition Matrix
State Transition Probability
[Definition]
Pss' = P[St+1 = s' | St = s]
- 시간이 t일 때 State s에 있었다면, 시간 t+1일 때 State s'로 전이할 확률
State Transition Matrix
- 시간이 t일 때 State s에 있었다면, 시간 t+1일 때 가능한 모든 State들로 전이할 각각의 확률들

Markov Process
- A Markov process is a memoryless random process, i.e. a sequence of random states S1, S2, ... with the Markov property.
- 어떤 경로를 통해 여기 왔는지 상관하지 않고 샘플링을 수행한다
- 예)
-


- State 개수: 7, State 전이 확률: 화살표
- Terminal State: Sleep 노드, 모든 프로세스가 종료되는 것
- Episode: 어떤 State에서 시작해서 Final State까지 가는 것
- 예시에서 C1 C2 C3 Pass Sleep
- 이게 하나의 Episode이고, Episode를 Sampling한다고 표현
-
Markov Reward Process
- Markov Process의 S, P에 R, γ가 추가됨
- 확률분포에 따라 시스템이 자동으로 State를 변화시켜줌
- 예)
MRP > Return
- Reward와 Return은 서로 다른 개념
- Return: 경로들도 Reward들의 총합인데, 그냥 더하지 않고 기준에 따라 가중치를 곱해서 더함
- The discount γ ∈ [0, 1] is the present value of future rewards
- The value of receiving reward R after k + 1 time-steps is γkR
- This values immediate reward above delayed reward.
- γ close to 0 leads to myopic evaluation
- 0에 가까울수록 순간적인 reward만 중요
- γ close to 1 leads to far-sighted evaluation
- 1에 가까울수록 장기적인 reward 중요
- 미래의 가치를 현재 가치로 표현한 것
- γ close to 0 leads to myopic evaluation
MRP > Why discount
- 수학적으로 편해서. 즉 discount로 인해서 수렴성이 증명되었기 때문에
- 모든 Sequence가 Terminate되는게 보장된다면, γ=1로 해도 된다

MRP > Value Function
- The value function v(s) gives the long-term value of state s
- 현재 시점에서 미래의 기대하는 모든 Return들을 표현
- 미래의 Return이 가장 큰 의사결정을 하고 행동하는 것이 최종 목표
- 동일한 State에서 시작해도 경로에 따라서 Reward들의 총합이 다름
![]() |
![]() |
![]() |
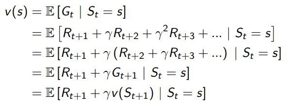
MRP > Bellman Equation for MRPs
- Value Function은 Bellman Equation에 의해 학습된다
- Value Function은 2개의 부분으로 분해 가능하다
- immediate reward Rt+1
- discounted value of successor state γv(St+1)
- Bellman Equation을 통해서 현재 시점의 Value는 현재의 Return과 다음 시점의 Value로 표현할 수 있다
- 한 Step 더 가서 보는 게 Bellman Equation
- 예)
-


- Class 3이 현재 상태일 때
- Value Function 값은 4.3
- 현재 시점에서의 Return - 2 + 확률적으로 선택될 다음 State들의 Value의 Return * 확률
-
MRP > Bellman Equation in Matrix Form
- The Bellman Equation can be expressed concisely using matrices,
- v = R + γPv
- where v is a column vector with one entry per state
- The Bellman Equation is a linear equation
- It can be solved directly
- 연산량: O(n3) for n states
- Direct solution only possible for small MRPs
- There are many iterative methods for large MRPs, e.g.,
- Dynamic Programming
- Monte-Carlo evaluation
- Temporal-Difference learning
Markov Decision Process
- MRP with Decisions
- 즉 MRP에서 Action이 더해진 것이 MDP
- It is an environment in which all states are Markov
- 예)
-
MDP > Policies
- Action에 따라 다음 State가 달라지기 때문에 어떤 Policy를 갖고 하느냐가 중요
- Action은 확률분포
- MDP policies depend on the current state (not the history)
- MDP에서의 Policy는 현재 State에 의존한다
- i.e. Policies are stationary (time-independent),
- At ∼ π(·|St), ∀t > 0
- Reward를 최대화해주는 어떤 Policy를 찾는 과정을 MDP를 푼다고 한다
- Given an MDP M = <S, A,P, R, γ> and a policy π
- The state sequence S1, S2 is Markov Process <S, P𝝿>
- Agent에서 Policy가 고정되면, 다음 State가 무엇이 될지 확률을 계산할 수 있음
- The state and reward sequence S1, R1, S2, ... is a Markov Reward Process <S, P𝝿, R𝝿, γ>
MDP > Value Function
- 어떤 State에서 어떤 Policy 𝝿를 따라서 Episode가 끝날 때까지 수행하면 Episode 1개가 생성됨
- 이걸 여러 번 수행 → Episode N개
- Episode N개의 결과를 평균낸 것이 MDP에서의 Value Function
- State Value Function
- State s인 조건에서 Policy를 따르는 기대되는 미래 보상들의 모든 합
- 현재 State에서 특정 Policy를 따랐을 때 얼마나 좋은지, 얼마나 가치있는지 나타내는 값
- Action Value Function
- State s에서 Action a를 수행했을 때, 이후는 Policy 𝝿를 따라서 게임을 수행했을 때 그 판의 기대값
- State s이고 Action a인 조건에서 Policy를 따르는 기대되는 미래 보상들의 모든 합
- 현재 State에서 특정 Policy를 따랐을 때 특정 행동을 하였을 때 얼마나 좋은지, 얼마나 가치있는지 나타내는 값
- Q-Learning이 이에 해당
- 예)
MDP > Bellman Expectation Equation
State Value Function
- Step을 한번 움직인 이후, 그 다음 Step부터 𝝿를 따라 가는 것과 동일하다
![]() |
![]() |
Action Value Function
- S에서 A를 해서 R을 하나 받고, 다음 S에서 다음 Action을 하는 것의 기대값과 동일하다
![]() |
![]() |
예)

MDP > Bellman Expectation Equation - Matrix Form
- The Bellman expectation equation can be expressed concisely using the induced MRP,
- v𝝿 = R𝝿 + γP𝝿v𝝿
- Direct Solution: v𝝿 = (1 - R𝝿)-1 * R𝝿
MDP > Optimal Value Function
- 가능한 모든 Policy에서 가능한 Value 중에 최대값
- The optimal value function specifies the best possible performance in the MDP
- Optimal Value Function은 MDP에서 가능한 최적의 성능을 나타냄
- 이걸 아는 순간 MDP가 solved됨
![]() |
![]() |
MDP > Optimal Policy
- 2개의 Policy가 있을 때 둘중 어떤게 나은 Policy인지 비교하려면 Partial Ordering을 정의해야함
- π ≥ π' if vπ(s) ≥ vπ'(s), ∀s
- An optimal policy can be found by maximising over q*(s, a)
- There is always a deterministic optimal policy for any MDP
- If we know q*(s, a), we immediately have the optimal policy
- 예)
MDP > Bellman Optimality Equation for v*
- max로 인해서 non-linear
![]() |
![]() |
MDP > Bellman Optimality Equation for Q*
![]() |
![]() |
- 예)
Solving the Bellman Optimality Equation
- Bellman Optimality Equation is non-linear
- No closed form solution (in general)
- Many iterative solution methods
- Value Iteration
- Policy Iteration
- Q-Learning
- Sarsa
'Study > Machine Learning' 카테고리의 다른 글
| [RL]Lecture #4 - Model-Free Prediction (0) | 2022.03.07 |
|---|---|
| [RL]Lecture #3 - Planning by Dynamic Programming (0) | 2022.03.06 |
| [RL]Lecture #1 - Introduction to Reinforcement Learning (0) | 2022.03.04 |
| 유용한 강의 영상 (0) | 2022.02.03 |
| Lecture 7) Regularization (0) | 2022.01.23 |

































댓글